中国科学院强磁场科学中心的杨昭荣研究员与南京大学孙建教授、万贤纲教授以及北京高压科学研究中心杨文革研究员等组成的合作研究团队,在拓扑外尔半金属材料TaAs的量子序调控研究中取得重要进展,相关结果以“Pressure-Induced New Topological Weyl Semimetal Phase in TaAs”为题,发表在美国物理评论杂志Physical Review Letter上。
伴随着拓扑绝缘体的发现,材料的拓扑特性以及新奇量子效应在过去的十年里受到了广泛的关注和研究,拓扑电子材料家族也从最初的拓扑绝缘体逐渐扩展到狄拉克半金属和外尔半金属等。外尔半金属具有表面态费米弧、手性反常导致的负磁阻等新奇物理性质,在低能耗电子器件、量子计算等领域具有潜在的应用价值。2015年,非中心对称的TaAs家族被理论预言并成为首个实验证实的外尔半金属体系,这类材料常压下为四方结构,其三维布里渊区内有24个外尔点,它们处在两个不同能级之上。压力作为一种洁净的维度,直接作用于晶格自由度,是调节量子相变、诱导新物态的一个直接途径。因而,压力下材料的拓扑特性如何演化不但有助于外尔半金属物理本质的研究,同时也将为设计新的拓扑电子材料提供新思路。
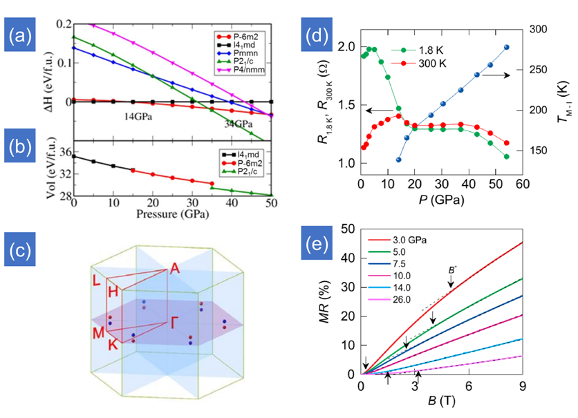
研究团队通过理论分析并结合高压下的电输运测量和同步辐射X射线衍射等实验手段,对TaAs单晶高压下的物理行为进行了详细研究(压力最高达到54GPa)。理论预测和实验测量结果一致表明,TaAs常压四方I41md结构中处在两个不同能级上的24个外尔点在低压区可以稳定存在。当压力超过14GPa后,新的高压六方相P-6m2出现。进一步的研究发现,该高压六方相属于一类新型拓扑半金属,它只拥有12个外尔点并位于相同能级之上,因而相比于常压相而言能带结构更为简单。卸压同步辐射X射线衍射实验结果证实了这个新型拓扑半金属相可以稳定保留至常压,这为以后在常压下进一步研究这个新型外尔半金属相提供了可能。
高压下的电输运测量部分实验在中国科学院强磁场科学中心的高压-强磁场-低温综合测量系统上完成。强磁场中心助理研究员周永惠、南京大学博士生陆鹏超和杜永平、以及强磁场中心副研究员朱相德为本文共同第一作者,上述研究成果得到了国家自然科学基金,973计划等项目的资助。本工作合作单位还包括中国科学院固体物理研究所、美国阿贡国家实验室以及南京大学协同创新中心。
相关链接: “Pressure-Induced New Topological Weyl Semimetal Phase in TaAs” Phys. Rev. Lett. 117(14), 146402 (2016). doi: 10.1103/PhysRevLett.117.146402。
图1. (a) TaAs晶体高压下各种可能结构相的焓值计算;(b)结构预测的TaAs晶胞体积-压力关系曲线;(c) TaAs高压六方相P-6m2第一布里渊区的外尔点分布示意图;(d) TaAs单晶中绝缘-金属转变温度TM-I,1.8K和300K电阻随压力变化的曲线;(e) TaAs单晶不同压力下的等温(4.5K)磁阻曲线,其中,虚线代表线性拟合结果,箭头代表偏离线性行为的特征磁场。
