近期,固体所纳米材料与纳米结构研究室费广涛研究员课题组在等离子增强宽波段光电探测器方面取得进展,相关研究成果发表在Journal of Materials Chemistry C上。
作为一种传统的红外材料,硫化铅已被广泛应用于红外探测领域。近年来,由于纳米材料的量子尺寸局域效应,纳米型硫化铅材料已被广泛研究并应用于可见光探测器并表现出优良的性能。对于薄膜硫化铅探测器而言,目前其光电响应仍不理想,需要进一步提高薄膜硫化铅探测器的响应性能。
众所周知,常见贵金属纳米材料如Au、Ag、Pt、Cu等,具有表面等离子共振特性,能够在其周围产生强烈的电磁场增强。这种等离子共振增强特性可以应用于光活性器件中,比如光发射二极管、太阳能电池、光电探测器、光催化系统等等。相比于分布杂乱无序的贵金属结构来说,规整有序的金属结构能够进一步地增强其表面等离子共振效应。并且,具有有序排列的贵金属结构如金属孔阵列,金属天线阵列,金属光栅结构等可以通过调控其周期结构参数来调控其等离子共振频率特性,进而达到选择性增强的目的。
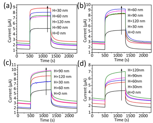
基于以上研究现状,费广涛研究员课题组硕士研究生谢秉合等采用化学浴沉积法制备出PbS薄膜,并利用超薄双通二氧化钛多孔膜为模板构筑了有序Au阵列/PbS薄膜复合光电探测器。由于Au有序阵列的等离子共振增强效应,复合薄膜光电探测器的响应率相比于纯PbS薄膜探测器得到125-175%的提高。进一步研究还发现这种增强表现出明显的波长选择性,当改变金纳米阵列的高度时,探测器响应率的最强增强波长位置会发生变化,即随着高度由30 nm增加到120 nm,最强增强峰位从可见光波段(450 nm)逐渐红移到近红外波段(980 nm)。以上研究结果将为等离子共振增强光电探测器的研究和发展提供新的思路和途径,也表现出潜在的应用价值。
以上研究得到了国家重点研发计划课题和国家自然科学基金的资助。
文章链接地址:http://pubs.rsc.org/en/content/articlepdf/2018/TC/C7TC04884J

图1. 金纳米棒阵列修饰的硫化铅薄膜的扫描示意图

图2. 不同激光光照度下PbS薄膜(H=0 nm)和不同高度Au纳米棒(H=30、60、90、120 nm)修饰的PbS薄膜的I-T曲线特性。入射光波长分别为(a)450 nm;(b)532 nm;(c)660 nm;(d)980 nm。光功率均为54.16 mW/cm2。

图3. (a)有限时域差分模拟金纳米棒(H=30、60、90、120 nm)附近截面电场分布示意图;(b)不同高度的Au纳米棒(H=30、60、90、120 nm)修饰的PbS薄膜的相对光电流增长与入射光波长的依赖关系。