重器巨帙, 融合开放。
董铺湖畔, 蜀山之侧, 以科学为名, 立创新高地。
博学之,审问之, 慎思之,明辨之, 笃行之。
与强者为伍, 与智者同行。 科学岛欢迎您!
海纳百川, 有容乃大。
组织是“形”,思想是“魂”。
传播科学知识, 弘扬科学精神。
及时公开, 准确公开, 合规公开。
近期,强磁场科学中心田明亮研究员课题组在Dirac半金属ZrTe5中发现由磁场诱导出的拓扑量子相变,相关研究结果以Field-induced topological phase transition from a three-dimensional Weyl semimetal to a two-dimensional massive D...
近期,安光所谢品华研究员课题组在大气N2O5探测研究方面取得新进展。相关研究工作于9月12日网络在线发表在荷兰Elsevier集团出版的期刊Science of the total environment(环境科学二区)上。N2O5是对流层夜间化学反应的关键成分,夜间...
近期,智能所黄行九研究员课题组应邀撰写电化学检测砷进展综述文章Recent developments in electrochemical determination of arsenic并发表在Current Opinion in Electrochemistry(http://dx.doi.org/10.1016/j.coelec.2017.08.002...
近期,应用技术研究所孔凡太研究团队在钙钛矿太阳电池中有机小分子空穴传输材料的研究取得新进展,该工作对开发新型高效廉价空穴传输材料具有重要意义,相关研究结果分别发表在ACS Appl. Mater. & Interfaces 及 Chem Commun(ACS App...
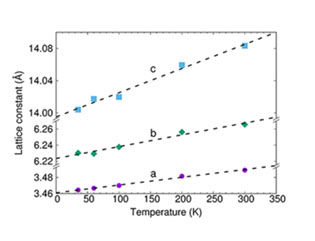
近期,固体所功能材料研究室尹利华等研究人员在钙钛矿结构Cr基氧化物的磁性及磁电效应等方面的研究获得新进展,相关结果相继发表在Applied Physics Letters (Appl. Phys. Lett. 111, 072402 (2017); Appl. Phys. Lett. 110, 192904 (2...